7 图
图
1 简介
概念
- 图可以定义为用于顶点和边的组合。 图可以看作是循环树,图中顶点(节点)维持它们之间的任何复杂关系,而不是简单的父子关系。
- 图G 可以定义为有序集G(V,E),其中V(G)表示顶点集,E(G)表示用于连接这些顶点的边集。
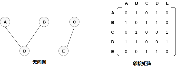
- 图G(V,E)有5个顶点(A,B,C,D,E)和6个边((A,B),(B,C),(C,E),(E,D), (D,B),(D,A))如下图所示。

术语
- 阶(Order) - 图 G 中点集 V 的大小称作图 G 的阶。
- 子图(Sub-Graph) - 当图 G’=(V’,E’)其中 V‘包含于 V,E’包含于 E,则 G’称作图 G=(V,E)的子图。每个图都是本身的子图。
- 生成子图(Spanning Sub-Graph) - 指满足条件 V(G’) = V(G)的 G 的子图 G’。
- 导出子图(Induced Subgraph) - 以图 G 的顶点集 V 的非空子集V1 为顶点集,以两端点均在 V1 中的全体边为边集的 G 的子图,称为 V1 导出的导出子图;以图 G 的边集 E 的非空子集 E1 为边集,以 E1 中边关联的顶点的全体为顶点集的 G 的子图,称为 E1 导出的导出子图。
- 度(Degree) - 一个顶点的度是指与该顶点相关联的边的条数,顶点 v 的度记作 d(v)。
- 入度(In-degree)和出度(Out-degree) - 对于有向图来说,一个顶点的度可细分为入度和出度。一个顶点的入度是指与其关联的各边之中,以其为终点的边数;出度则是相对的概念,指以该顶点为起点的边数。
- 自环(Loop) - 若一条边的两个顶点为同一顶点,则此边称作自环。
- 路径(Path) - 从 u 到 v 的一条路径是节点序列v0,e1,v1,e2,v2,…ek,vk,其中 ei 的顶点为 vi 及 vi - 1,k 称作路径的长度。如果它的起止顶点相同,该路径是“闭”的,反之,则称为“开”的。一条路径称为一简单路径(simple path),如果路径中除起始与终止顶点可以重合外,所有顶点两两不等。
- 行迹(Trace) - 如果路径 P(u,v)中的边各不相同,则该路径称为 u 到 v 的一条行迹。闭的行迹称作回路(Circuit)。
- 轨迹(Track) - 如果路径 P(u,v)中的顶点各不相同,则该路径称为 u 到 v 的一条轨迹。闭的轨迹称作圈(Cycle)。
- 桥(Bridge) - 若去掉一条边,便会使得整个图不连通,该边称为桥。
- 相邻节点如果两个节点u和v通过边e连接,则节点u和v被称为邻居或相邻节点。
分类
- 有向图 - 如果给图的每条边规定一个方向,那么得到的图称为有向图。
- 无向图 - 边没有方向的图称为无向图。
- 连通图连通图是在V中的每两个顶点(u,v)之间存在一些路径的图。连通图中没有孤立的节点。
- 完整图完整图是每个节点与所有其他节点连接的图。 完整图包含n(n-1/2个边,其中n是图中节点的数量。
- 权重图在权重图中,为每个边分配一些数据,例如长度或重量。 边e的权重可以给定为w(e),其必须是指示穿过边缘的成本的正(+)值。
2 图的实现
邻接矩阵
在顺序表示中,使用邻接矩阵来存储由顶点和边表示的映射。在邻接矩阵中,行和列由图顶点表示。 具有n个顶点的图将具有尺寸n×n。
如果在Vi和Vj之间存在边缘,则无向图G的邻接矩阵表示中的项目Mij将为1。
无向图及其邻接矩阵表示如下图所示。

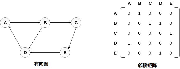
有向图及其邻接矩阵表示如下图所示。

权重有向图以及邻接矩阵表示如下图所示。

邻接链表
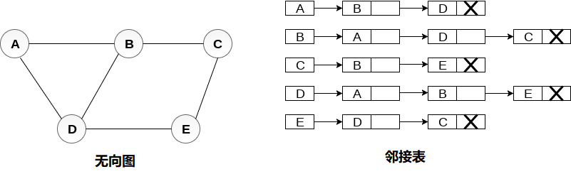
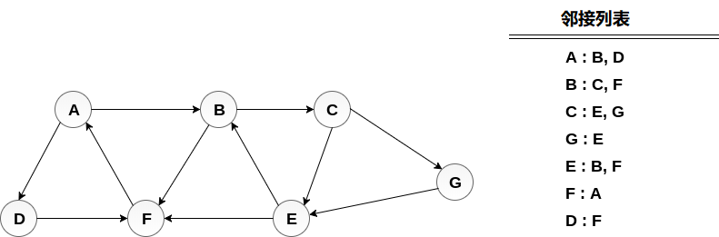
- 邻接列表用于将图存储到计算机的内存中。考虑下图中显示的无向图并检查邻接列表表示。要为图中存在的每个节点维护邻接列表,邻接列表将节点值和指向下一个相邻节点的指针存储到相应节点。 如果遍历所有相邻节点,则将NULL存储在列表的最后一个节点的指针字段中。 邻接列表的长度之和等于无向图中存在的边数的两倍。

- 有向图,并查看图的邻接列表表示。在有向图中,所有邻接列表的长度之和等于图中存在的边的数量。

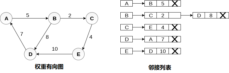
- 加权有向图,每个节点包含一个额外的字段,称为节点的权重。 有向图的邻接列表表示如下图所示。

3 基本操作
基本操作
- 创建一个图结构 - CreateGraph(G)
- 检索给定顶点 - LocateVex(G,elem)
- 获取图中某个顶点 - GetVex(G,v)
- 为图中顶点赋值 - PutVex(G,v,value)
- 返回第一个邻接点 - FirstAdjVex(G,v)
- 返回下一个邻接点 - NextAdjVex(G,v,w)
- 插入一个顶点 - InsertVex(G,v)
- 删除一个顶点 - DeleteVex(G,v)
- 插入一条边 - InsertEdge(G,v,w)
- 删除一条边 - DeleteEdge(G,v,w)
- 遍历图 - Traverse(G,v)
创建
- 图的邻接链表实现方法
1 | // 图的邻接链表实现方法 |
搜索——广度优先搜索
广度优先搜索是一种图遍历算法,它从根节点开始遍历图并探索所有相邻节点。 然后,它选择最近的节点并浏览所有未探测的节点。 对于每个最近的节点,该算法遵循相同的过程,直到找到目标为止。
下面给出了广度优先搜索的算法。算法从检查节点A及其所有邻居开始。在下一步中,搜索A的最近节点的邻居,并且在后续步骤中继续处理。 该算法探索所有节点的所有邻居,并确保每个节点只访问一次,并且没有访问任何节点两次。
算法
1 | 第1步:设置状态 = 1(就绪状态) |
实例
考虑下图中显示的图G,计算从节点A到节点E的最小路径p。给定每条边的长度为1。最小路径P可以通过应用广度优先搜索算法找到,该算法将从节点A开始并将以E结束。算法使用两个队列,即QUEUE1和QUEUE2。 QUEUE1保存要处理的所有节点,而QUEUE2保存从QUEUE1处理和删除的所有节点。

1 | ``` |
第1步:为G中的每个节点设置STATUS = 1(就绪状态)
第2步:将起始节点A推入堆栈并设置其STATUS = 2(等待状态)
第3步:重复第4步和第5步,直到STACK为空
第4步:弹出顶部节点N.处理它并设置其STATUS = 3(处理状态)
第5步:将处于就绪状态(其STATUS = 1)的N的所有邻居推入堆栈并设置它们
STATUS = 2(等待状态)
[循环结束]
第6步:退出
1 | > 实例 |
本博客所有文章除特别声明外,均采用 CC BY-NC-SA 4.0 许可协议。转载请注明来源 Estom的博客!










