1 图基础知识
基础知识
1 图的表示
- 邻接矩阵
2 图的特性
- 子图
- 度、出度、入度
- 连通图、连通分量(无向图最大的连通分量)
- 强连通图、弱连通图
- 最短路径、图直径(最短路径的最大值)
3 图的中心性
- 度中心性
$$
\frac{N_d}{n-1}
$$
- 特征向量中心性。特征值越大,其相邻节点的度越大。
- 连接的中心性。节点在图中的重要性。其他节点两两到达是否经过该节点
4 网页排序算法
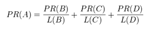
page rank算法

- 节点值等于指向节点的边的值的和。
- 边的值评分节点值
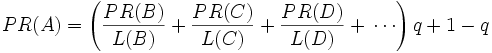
- 阻尼系数,有0.85的概率按照路径传播。
具体的步骤:
在初始阶段:网页通过链接关系构建起Web图,每个页面设置相同的PageRank值,通过若干轮的计算,会得到每个页面所获得的最终PageRank值。随着每一轮的计算进行,网页当前的PageRank值会不断得到更新。
在一轮中更新页面PageRank得分的计算方法:在一轮更新页面PageRank得分的计算中,每个页面将其当前的PageRank值平均分配到本页面包含的出链上,这样每个链接即获得了相应的权值。而每个页面将所有指向本页面的入链所传入的权值求和,即可得到新的PageRank得分。当每个页面都获得了更新后的PageRank值,就完成了一轮PageRank计算。、

由于存在一些出链为0,也就是那些不链接任何其他网页的网, 也称为孤立网页,使得很多网页能被访问到。因此需要对 PageRank公式进行修正,即在简单公式的基础上增加了阻尼系数(damping factor)q, q一般取值q=0.85。其意义是,在任意时刻,用户到达某页面后并继续向后浏览的概率。 1- q= 0.15就是用户停止点击,随机跳到新URL的概率)的算法被用到了所有页面上,估算页面可能被上网者放入书签的概率。最后,即所有这些被换算为一个百分比再乘上一个系数q。由于下面的算法,没有页面的PageRank会是0。所以,Google通过数学系统给了每个页面一个最小值。

HITS算法

本博客所有文章除特别声明外,均采用 CC BY-NC-SA 4.0 许可协议。转载请注明来源 Estom的博客!










